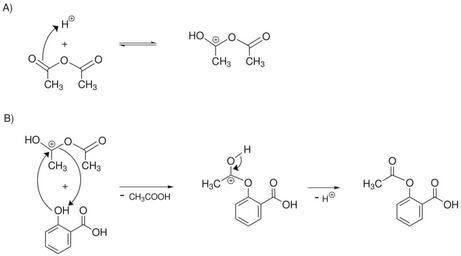
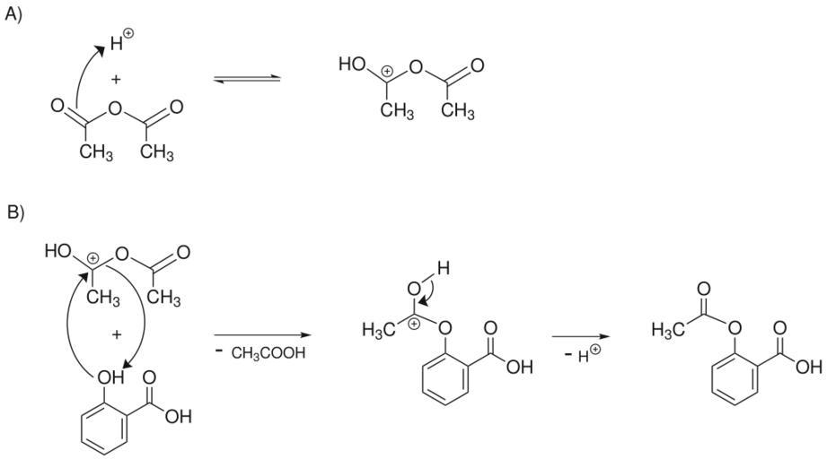
MAKE A MEME View Large Image Acetylsalicylsäure.synthese2.svg de Synthese von Acetylsalicylsäure own Ð”Ñ‘Ñ Ñ‚Ðµ Вилкен 2010-08-04 Acetylsalicylic acid Organic syntheses
View Original:Acetylsalicylsäure.synthese2.svg (538x299)
Download: Original    Medium    Small Thumb
Courtesy of:commons.wikimedia.org More Like This
Keywords: Acetylsalicylsäure.synthese2.svg de Synthese von Acetylsalicylsäure own Ð”Ñ‘Ñ Ñ‚Ðµ Вилкен 2010-08-04 Acetylsalicylic acid Organic syntheses
Terms of Use   Search of the Day