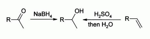
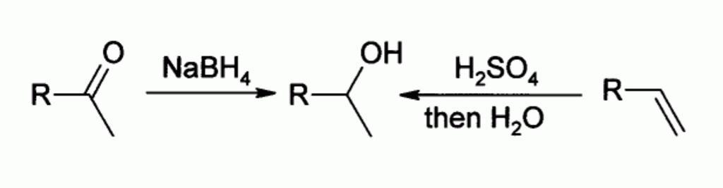
MAKE A MEME View Large Image Alcohol prep.png en wikipedia en wikipedia Two common methods used for making secondary alcohols Scanned from an ISIS Draw image drawn by User Walkerma April 2005 PD-link 1 date/time username edit summary ---- 15 53 18 April 2005 en User ...
View Original:Alcohol prep.png (617x161)
Download: Original    Medium    Small Thumb
Courtesy of:commons.wikimedia.org More Like This
Keywords: Alcohol prep.png en wikipedia en wikipedia Two common methods used for making secondary alcohols Scanned from an ISIS Draw image drawn by User Walkerma April 2005 PD-link 1 date/time username edit summary ---- 15 53 18 April 2005 en User Walkerma <nowiki> typo </nowiki> ---- 15 53 18 April 2005 en User Walkerma <nowiki> Two common methods used for making secondary alcohols Scanned from an ISIS Draw image drawn by <a href /wiki/User Walkerma title User Walkerma >User Walkerma</a> April 2005 PD-link </nowiki> Original upload log Legend cur this is the current file del delete this old version rev revert to this old version Click on date to download the file or see the image uploaded on that date del cur 15 53 18 April 2005 en User Walkerma Walkerma en User_talk Walkerma Talk 617x161 5041 bytes Two common methods used for making secondary alcohols Scanned from an ISIS Draw image drawn by en User Walkerma User Walkerma April 2005 PD-link en Image Alcohol prep gif Secondary_alcohol_formation-diagram svg Original upload log wikitable - - 2006-01-28 17 58 47 617 × 161 5041 bytes Maksim <nowiki>La bildo estas kopiita de wikipedia en La originala priskribo estas Two common methods used for making secondary alcohols Scanned from an ISIS Draw image drawn by User Walkerma April 2005 PD-link 1 date/time username edi</nowiki> Syntheses of alcohols
Terms of Use   Search of the Day