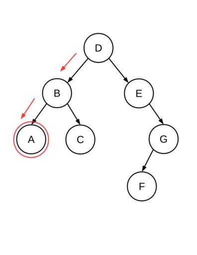
MAKE A MEME View Large Image BST Min.svg en Traversal to minimum value in a binary search tree 2014-11-12 own RyanJCarter other versions cc-zero Uploaded with UploadWizard Uncategorized 2014 November 13
View Original:BST Min.svg (28x279)
Download: Original    Medium    Small Thumb
Courtesy of:commons.wikimedia.org More Like This
Keywords: BST Min.svg en Traversal to minimum value in a binary search tree 2014-11-12 own RyanJCarter other versions cc-zero Uploaded with UploadWizard Uncategorized 2014 November 13
Terms of Use   Search of the Day