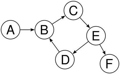
MAKE A MEME View Large Image Directed graph, cyclic.svg Topologische Sortierbarkeit von Elementen de wikipedia Transfer was stated to be made by User Ddxc 2007-12-09 David W wikipedia de <br/> David W David W original upload log page de wikipedia Topologie_4 svg ...
View Original:Directed graph, cyclic.svg (450x280)
Download: Original    Medium    Small Thumb
Courtesy of:commons.wikimedia.org More Like This
Keywords: Directed graph, cyclic.svg Topologische Sortierbarkeit von Elementen de wikipedia Transfer was stated to be made by User Ddxc 2007-12-09 David W wikipedia de <br/> David W David W original upload log page de wikipedia Topologie_4 svg 2007-12-09 21 22 David W 450×280×0 20071 bytes <nowiki> Andere Versionen </nowiki> 2007-12-09 21 16 David W 450×280×0 20070 bytes <nowiki> Beschreibung Quelle David W Dezember 2007 Andere Versionen Wikipedia Lizenzvor</nowiki> Directed planar graphs
Terms of Use   Search of the Day