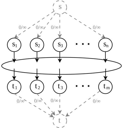
MAKE A MEME View Large Image Multi-source multi-sink flow problem.svg Transformation of multi-source multi-sink maximum flow problem self-created using Dia 09/07/2009 Chin Ho Lee Tcshasaposse Original upload log en wikipedia Milicevic01 CommonsHelper en wikipedia ...
View Original:Multi-source multi-sink flow problem.svg (22x23)
Download: Original    Medium    Small Thumb
Courtesy of:commons.wikimedia.org More Like This
Keywords: Multi-source multi-sink flow problem.svg Transformation of multi-source multi-sink maximum flow problem self-created using Dia 09/07/2009 Chin Ho Lee Tcshasaposse Original upload log en wikipedia Milicevic01 CommonsHelper en wikipedia Multi-source_multi-sink_flow_problem svg 2009-07-10 04 02 Tcshasaposse 780×815× 17525 bytes <nowiki></nowiki> 2009-07-10 04 01 Tcshasaposse 815×390× 11076 bytes <nowiki></nowiki> 2009-07-10 03 49 Tcshasaposse 780×815× 17835 bytes <nowiki></nowiki> 2009-07-09 08 24 Tcshasaposse 455×395× 11082 bytes <nowiki> Transformation of multi-source multi-sink maximum flow problem self-created using Graphviz 09/07/2009 Chin Ho Lee </nowiki> Flow networks
Terms of Use   Search of the Day