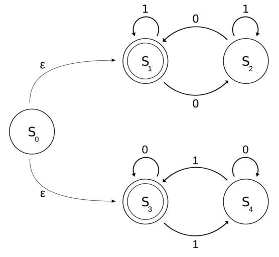
MAKE A MEME View Large Image NFAexample.svg An example of a NFA state diagram Combination of en Image NFAexample png and Image DFAexample svg 2007-05-30 Interiot Automata theory Finite state machine
View Original:NFAexample.svg (760x700)
Download: Original    Medium    Small Thumb
Courtesy of:commons.wikimedia.org More Like This
Keywords: NFAexample.svg An example of a NFA state diagram Combination of en Image NFAexample png and Image DFAexample svg 2007-05-30 Interiot Automata theory Finite state machine
Terms of Use   Search of the Day