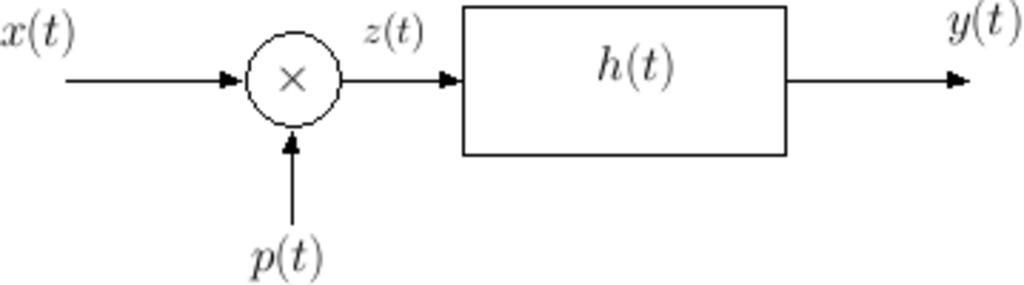
MAKE A MEME View Large Image Signal1.png Diagrama de bloques de la multiplicación de dos señales y la convolución con una tercera al suponer que el producto de la señal pasa por un sistema lineal invariante en el tiempo cuya respuesta al impulso es conocidaAnalog ...
View Original:Signal1.png (359x100)
Download: Original    Medium    Small Thumb
Courtesy of:commons.wikimedia.org More Like This
Keywords: Signal1.png Diagrama de bloques de la multiplicación de dos señales y la convolución con una tercera al suponer que el producto de la señal pasa por un sistema lineal invariante en el tiempo cuya respuesta al impulso es conocidaAnalog signal processing circuit diagrams 2006-06-10 own assumed Wcolmen
Terms of Use   Search of the Day