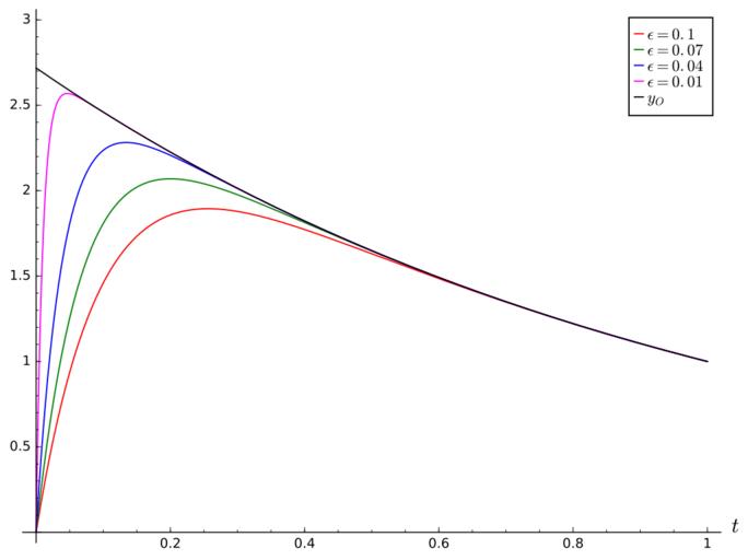
| Keywords: Singular perturbation convergence.svg singular perturbation solutions Shows solutions to <math> \epsilon y + 1+\epsilon y' + y 0 \ </math> with <math>y 0 0</math> <math>y 1 1</math> for varying <math>\epsilon</math> Created with the following Sage code <source lang python> var 't' var 'eps' y t exp -t - exp -t/eps / exp -1 - exp -1/eps yO t exp 1 - t combined plot y subs eps 0 1 t 0 1 color 'red' legend_label ' \epsilon 0 1 ' + plot y subs eps 0 07 t 0 1 color 'green' legend_label ' \epsilon 0 07 ' + plot y subs eps 0 04 t 0 1 color 'blue' legend_label ' \epsilon 0 04 ' + plot y subs eps 0 01 t 0 1 color 'magenta' legend_label ' \epsilon 0 01 ' + plot yO t 0 1 color 'black' legend_label ' y_O ' combined set_legend_options shadow False combined show ymax 3 axes_labels ' t ' </source> 2016-11-05 own Eviatar Bach other versions Created with Sage cc-zero Differential equations Asymptotics Images with Sage source code |