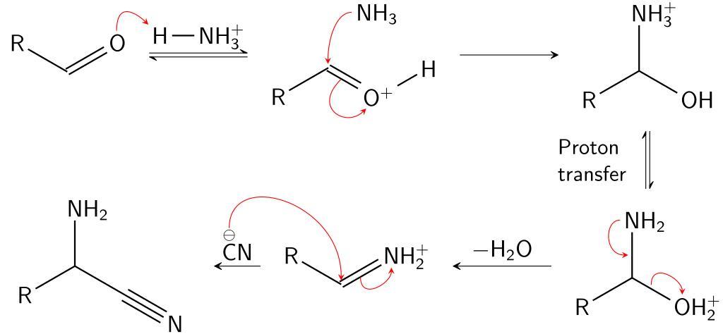
MAKE A MEME View Large Image Strecker's amino acid synthesis mechanism part 1.svg en Strecker's amino acid synthesis mechanism part 1 own Krishnavedala 2014-08-05 validSVG LaTeX source code 250px <syntaxhighlight lang latex > \documentclass12pt border 1pt standalone ...
View Original:Strecker's amino acid synthesis mechanism part 1.svg (365x169)
Download: Original    Medium    Small Thumb
Courtesy of:commons.wikimedia.org More Like This
Keywords: Strecker's amino acid synthesis mechanism part 1.svg en Strecker's amino acid synthesis mechanism part 1 own Krishnavedala 2014-08-05 validSVG LaTeX source code 250px <syntaxhighlight lang latex > \documentclass12pt border 1pt standalone \usepackageT1 fontenc \usepackageutf8 inputenc \usepackage chemfig chemmacros \usepackage lmodern \chemsetupchemformula font-shape sf format \sffamily \renewcommand \printatom1 \ensuremath \mathsf 1 \setatomsep 2 5em \setdoublesep 6ex \setarrowdefault 1 25 \setbondstyle thick \renewcommand \familydefault \sfdefault \begin document \schemestart \chemfig R- -30 30 a1 O \arrow < >\chemfig a2 H- 8NH_3 \scriptstyle+ \subscheme \chemfig \qquad b1 NH_3 \arrow 0 -90 0 3 \chemfig R- 30 b22 b2 -30 b3 O +- 30H \arrow -> \chemfig R- 30 - 60NH_3 \scriptstyle+ - -30OH \arrow < > 0 \parbox 1 5cm \small Proton transfer -90 9 \chemfig R- 30 - c2 60 c1 NH_2 - c3 -30 c4 OH_2 \scriptstyle+ \arrow -> - \chemfig H_2O 180 \chemfig R- -30 d1 d2 30 d3 NH_2 \scriptstyle+ \arrow ->\chemfig d0 \chemabove C \scriptstyle\ominus N 180 8 \chemfig R- 30 - 60NH_2 - -30~ 0N \chemmove-> red shorten < 2pt shorten > 2pt -stealth \draw a1 controls + north 8mm and + north west 5mm a2 ; \draw b1 controls + west 5mm and + north 5mm b22 ; \draw b2 controls + south west 8mm and + south west 8mm b3 ; \draw c1 controls + west 5mm and + west 5mm c2 ; \draw c3 controls + north 5mm and + north 5mm c4 ; \draw d2 controls + south 5mm and + south 5mm d3 ; \draw shorten < 8pt d0 controls + north 15mm and + north 15mm d1 ; \schemestop \end document </syntaxhighlight> cob Strecker reaction Cc-zero
Terms of Use   Search of the Day