MAKE A MEME
View Large Image
View Original:
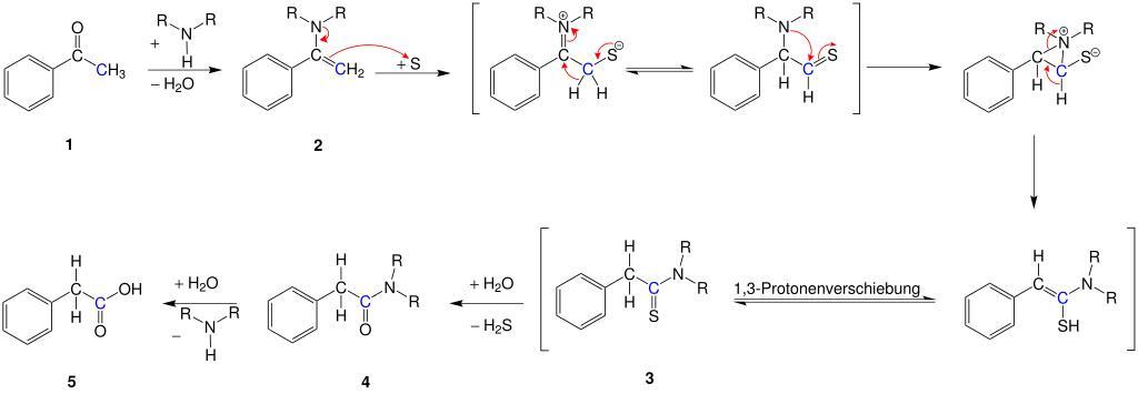
Willgerodt Kindler reaction mechm 7-Seite001.svg (1141x396)
Download:
Original
Medium
Small
Thumb
Courtesy of:
commons.wikimedia.org
More Like This
Keywords: Willgerodt Kindler reaction mechm 7-Seite001.svg en mechanism of the Willgerodt Kindler reaction de Mechanismus der Willgerodt-Kindler-Reaktion own бе еста Willgerodt rearrangement Cc-zero
Terms of Use
 
Search of the Day