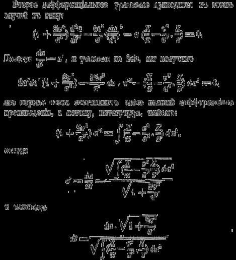
| Keywords: ZingerVJ-ODvizheniiSvobodnojZhidkojMassy.gif The last page of the article О движении свободной жидкой массы 1867 Vasily Zinger 1836-1907 Окончание статьи Василия Яковлевича Цинге а 1836 1907 «О движении свободной жидкой массы» 1867 ru http //www mathnet ru/php/getFT phtml jrnid sm paperid 6945 what fullt option_lang rus атематический сбо ник жу нал 1867 Т 2 3 С 155 188 1867 ru Цинге Василий Яковлевич PD-old 1867 books Books by Vasily Zinger Russian Mathematics books Drawings and tables with transparent background |